皖南電機:目前市場上電動機頻率基本50Hz、60Hz兩種,當額定電壓與使用電壓相同時,60Hz電動機是不能直接用于50Hz電源的,因為:第一、激磁電流增加,將使電動機功率因數下降;第二、每極磁通增加,鐵心損耗增大,激磁電流增加,繞組銅損耗增大,這兩損耗都使電動機效率降低,溫升增高;第三、電動機轉速降低,散熱變壞,溫升增高。
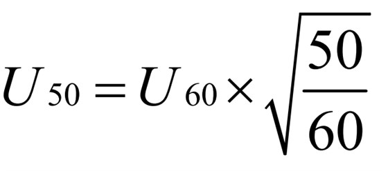
2.1 若要求轉矩不變,則 ,
例如,額定電壓450V/60Hz的電動機可以直接接在380/50Hz電源上運行,如果保持電動機的轉矩近似不變,則輸出功率應降低16.7%。
2.2 若要求功率不變,則

例如,額定電壓420V/60Hz的電動機可以直接接在380/50Hz電源上運行,這時電動機的輸出功率保持不變。
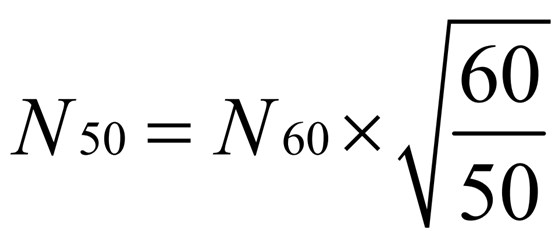
電動機電壓可以用調壓器實現,也可以拆換定子繞組實現,在拆除原繞組時應做好原始記錄,線規、每圈匝數、并繞根數、節距、并聯支路數等。當使用電壓與原電壓相同時,重換繞組簡易計算如下,則 :
N50-50Hz時繞組每槽導體數; N60-60Hz時繞組每槽導體數;
導體截面積要相應減少10%左右,如果電動機原來槽滿率不高,改成50hz電機時,導體截面積可以不變,這樣拆換繞組后,電動機的輸出功率基本保持不變。
本文由安徽皖南電機股份有限公司原創發布,轉載請注明出處

專注電機制造60年,服務全球制造業
